
تاريخ الفيزياء

علماء الفيزياء


الفيزياء الكلاسيكية

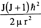
الميكانيك

الديناميكا الحرارية


الكهربائية والمغناطيسية

الكهربائية

المغناطيسية

الكهرومغناطيسية


علم البصريات

تاريخ علم البصريات

الضوء

مواضيع عامة في علم البصريات

الصوت


الفيزياء الحديثة


النظرية النسبية

النظرية النسبية الخاصة

النظرية النسبية العامة

مواضيع عامة في النظرية النسبية

ميكانيكا الكم

الفيزياء الذرية

الفيزياء الجزيئية


الفيزياء النووية

مواضيع عامة في الفيزياء النووية

النشاط الاشعاعي


فيزياء الحالة الصلبة

الموصلات

أشباه الموصلات

العوازل

مواضيع عامة في الفيزياء الصلبة

فيزياء الجوامد


الليزر

أنواع الليزر

بعض تطبيقات الليزر

مواضيع عامة في الليزر


علم الفلك

تاريخ وعلماء علم الفلك

الثقوب السوداء


المجموعة الشمسية

الشمس

كوكب عطارد

كوكب الزهرة

كوكب الأرض

كوكب المريخ

كوكب المشتري

كوكب زحل

كوكب أورانوس

كوكب نبتون

كوكب بلوتو

القمر

كواكب ومواضيع اخرى

مواضيع عامة في علم الفلك

النجوم

البلازما

الألكترونيات

خواص المادة


الطاقة البديلة

الطاقة الشمسية

مواضيع عامة في الطاقة البديلة

المد والجزر

فيزياء الجسيمات


الفيزياء والعلوم الأخرى

الفيزياء الكيميائية

الفيزياء الرياضية

الفيزياء الحيوية

الفيزياء العامة


مواضيع عامة في الفيزياء

تجارب فيزيائية

مصطلحات وتعاريف فيزيائية

وحدات القياس الفيزيائية

طرائف الفيزياء

مواضيع اخرى
طريقة Rydberg-Klein-Rees RKR
المؤلف:
الدكتور صلاح الدين محمود يونس
المصدر:
الفيزياء الجزيئية
الجزء والصفحة:
116
4-1-2021
2388
طريقة Rydberg-Klein-Rees RKR
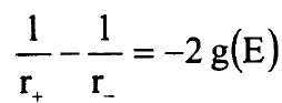
ان طريقة RKR طريقة جيدة وملائمة لايجاد منحني جهد V(r) من القيم الملاحظة لمستويات الطاقة الاهتزازية والثوابت الدورانية والمطلوب لاستخدام هذه الطريقة معرفة تغير الطاقة الاهتزازية والثابت الدوراني مع عدة الكم الاهتزازي v ثم يتم ايجاد نقاط تحول داخلية وخارجية (r+ وr- على منحني الجهد تعود لطاقة معينة) بالتقييم العددي لتكاملين متضمنين الدول G(v) وB(v) ويتم ايجاد منحني الجهد نقطة بعد نقطة.
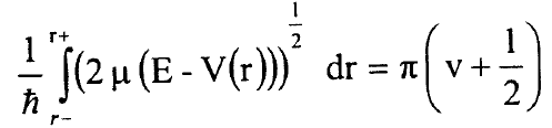
وتعتمد صلاحية طريقة RKR على معيار تقريبي للقيم الذاتية لطاقة اهتزازية E ويدعى هذا المعيار شرط تكميم quantization؛ اي تقسيم نظام طاقة الى وحدات صغيرة، بور- سومرفيلد Bohr-Somerfeld الذي يمكن اشتقاقه بطريقة WKB ويعطى بالعلاقة:
...........(1)
هذا الشرط مطلوب لان طور الدالة Ψ من اليسار (داخل) نقطة التحول يجب ان يلائم طورها من اليمين (خارج) نقطة التحول:
..............(2)
.............(3)
ويجب ان يكون اختلاف الطور بمقدار nπ:
.............(4)
...............(5)
وفرق الطور
في المعادلتين (2) و(3) ياتي من طريقة لربط دالة WKB الموجية خارج البئر بتقريب دالة الجهد في نقطة التحول الى دالة خطية في r واستخدام الحل المضبوط لمعادلة شرودنجر لجهد خطي وهذا الاجراء ضروري لان تقريب WKB غير صحيح في نقاط التحول ويكون الربط صحيحا اذا:

وهذا المتطلب ينطبق تماما على دالة الجهد لمتذبذب توافقي.
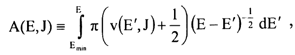
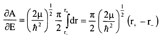
تتضمن طريقة RKR تعريف لدالة خاصة A(E,J) مشتقاتها لجزيئة
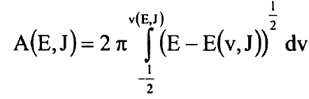
دول بسيطة لنقطتي التحول r+ وr- وهذه المشتقات يمكن التعبير عنها كتكاملات محتوية الدول G(v) وB(v) فقط ومتغير التكامل هو العدد الكمي الاهتزازي حيث G(v) الطاقة الاهتزازية وB(v) الثابت الدوراني معبر عنهما كدالة في v. ولان E=E (v,J) فمن الممكن تعريف v=v (E,J) وبالرغم من ان v وJ اعداد صحيحة لمستويات الطاقة الملاحظة فسوف تعتبر متغير مستمر في أية دالة. لنعرف الدالة A(E,J):
..................(6)
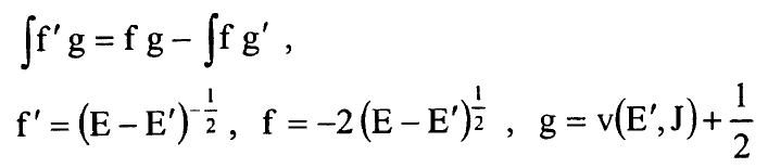
حيث Emin هي اقل طاقة للجهد V(r). نضع معادلة التكامل بالتجزئة بالشكل:
................(7)
يتلائى الجزء f g لان f=0 عندما E=E وg=0 عندما v(Emin,J)= -1/2 لذا:
................(8)
وبتحويل المتغيرات:
...................(9)
وبأخذ المشتقة الاولى:
..............(10)
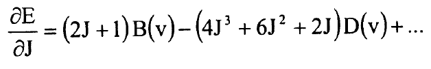
ولقيمة J=0:
...............(11)
وكذلك:
..................(12)
ولكن:
............(13)
................(14)
لقيمة J=0 فان
بالضبط، لذا:
............(15)
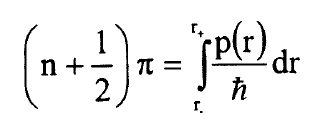
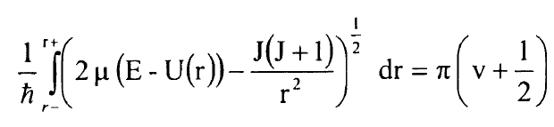
وهكذا يصبح لدينا تعبير بسيط جدا لمشتقات A(E,J) بدلالة B(v) وG(v) وسنعيد الان التعبير عن هذه المشتقات بدلالة نقطتي التحول عند النقطة E ونعود الى تعريف A(E,J) في المعادلة (6) ونعيد كتابة شرط القيمة الذاتية في طريقة WKB في المعادلة (1) بالشكل:
................(16)
ونعيد كتابة V(r) كجمع حدين: الحد الاول U(r) يصف دالة الجهد لقيمة J=0 (في غياب الدوران) والحد الثاني يعود الى الطاقة الدورانية
:
............(17)
والآن ندخل المعادلة (17) في المعادلة (6):
.............(18)
يتقارب التكامل في المعادلة (18) ويعطى بالمتساوية التكاملية الاتية:
..............(19)
لذا:
.............(20)
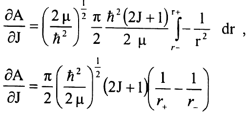
والمشتقة تساوي:
..........(21)
.................(22)
بجمع المعادلتين (21) و(11) نحصل على:
...............(23)
وبجمع المعادلتين (22) و(15) نصل الى:
.............(24)
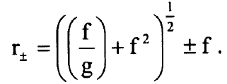
اذن لدينا معادلتان بمجهولين ويدعى التكامل في المعادلة (23) والتكامل في المعادلة (24) تكامل اجراء كلينf klein action وg ونكتبها بالشكل:
.........(25)
.............(26)
وباستخدام المعادلة التربيعية يمكن وضع المعادلتين (25) و(26) بالشكل:
.............(27)
الاكثر قراءة في الفيزياء الجزيئية
اخر الاخبار
اخبار العتبة العباسية المقدسة
الآخبار الصحية

قسم الشؤون الفكرية يصدر كتاباً يوثق تاريخ السدانة في العتبة العباسية المقدسة
"المهمة".. إصدار قصصي يوثّق القصص الفائزة في مسابقة فتوى الدفاع المقدسة للقصة القصيرة
(نوافذ).. إصدار أدبي يوثق القصص الفائزة في مسابقة الإمام العسكري (عليه السلام)