

علم الكيمياء

تاريخ الكيمياء والعلماء المشاهير

التحاضير والتجارب الكيميائية

المخاطر والوقاية في الكيمياء

اخرى

مقالات متنوعة في علم الكيمياء

كيمياء عامة


الكيمياء التحليلية

مواضيع عامة في الكيمياء التحليلية

التحليل النوعي والكمي

التحليل الآلي (الطيفي)

طرق الفصل والتنقية


الكيمياء الحياتية

مواضيع عامة في الكيمياء الحياتية

الكاربوهيدرات

الاحماض الامينية والبروتينات

الانزيمات

الدهون

الاحماض النووية

الفيتامينات والمرافقات الانزيمية

الهرمونات


الكيمياء العضوية

مواضيع عامة في الكيمياء العضوية

الهايدروكاربونات

المركبات الوسطية وميكانيكيات التفاعلات العضوية

التشخيص العضوي

تجارب وتفاعلات في الكيمياء العضوية


الكيمياء الفيزيائية

مواضيع عامة في الكيمياء الفيزيائية

الكيمياء الحرارية

حركية التفاعلات الكيميائية

الكيمياء الكهربائية


الكيمياء اللاعضوية

مواضيع عامة في الكيمياء اللاعضوية

الجدول الدوري وخواص العناصر

نظريات التآصر الكيميائي

كيمياء العناصر الانتقالية ومركباتها المعقدة


مواضيع اخرى في الكيمياء

كيمياء النانو

الكيمياء السريرية

الكيمياء الطبية والدوائية

كيمياء الاغذية والنواتج الطبيعية

الكيمياء الجنائية


الكيمياء الصناعية

البترو كيمياويات

الكيمياء الخضراء

كيمياء البيئة

كيمياء البوليمرات

مواضيع عامة في الكيمياء الصناعية

الكيمياء الاشعاعية والنووية
البلمرة الأنيونية للأميدات
المؤلف:
د. عمر بن عبدالله الهزازي
المصدر:
كيمياء البوليمرات
الجزء والصفحة:
ص 299
14-11-2017
634
البلمرة الأنيونية للأميدات
Anionic Polymerization of Cyclic Amides
يمكن بلمرة الأميدات الحلقية باستخدام بادئات أنيونية مثل القواعد القوية:
1- الفلزات القلوية.
2- هيدريدات الفلزات.
3- أميدات الفلزات.
4- المركبات العضوية المعدنية.
وتتضمن مرحلة البدء تكوين الانيون من اللاكتام، ومثل ذلك بلمرة الكابرولاكتام بواسطة الفلزات او مركباتها:
حيث M يمثل الفلز وعند استخدام مركبات الفلزات كأميد الصوديوم:
ولقد وجد أن استخدام القواعد الضعيفة لبدء التفاعل غير المفيد ، كالهيدروكسيدات والالكوكسيدات لأن ذلك يزيد تركيز الانيون المتولد في المحلول، وهذا يؤثر على حالة الاتزان ولكن عند استخدام الاميدات فإن الامونيا الناتجة يمكن إزالتها من التفاعل بسهولة، وبذلك يختل الاتزان ويتجه التفاعل إلى اليمين، ثم يتفاعل ايون اللاكتام (1) مع جزيئة اخرى من المونومر:
ان ايون الامين الاولي الناتج في المعادلة السابقة ((II يختلف عن أيون الكابرو لاكتام ((I فهو غير قادر على تثبيت نفسه لبعد مجموعة الكاربونيل عنه، لذلك يكون فعالاً جداً، وبإمكانه تجريد بروتون من المونومر بسرعة:
يعد المركب (III) بمثابة المركز الفعال لهذا النوع من البلمرة، ولقد أمكن عملياً عزل هذا المركب وتشخيصه ، ثم يجري التفاعل بين المركب ((III أنيون الكابرو لاكتام ((I:
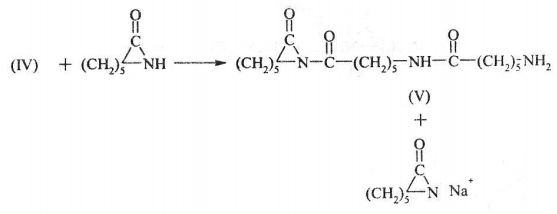
يجريد الانيون (IV) بروتون من جزيئه اخرى من المونومر الحلقي وتكون هذه الخطوة سريعة جداً:
الاكثر قراءة في كيمياء البوليمرات
اخر الاخبار
اخبار العتبة العباسية المقدسة
الآخبار الصحية

قسم الشؤون الفكرية يصدر كتاباً يوثق تاريخ السدانة في العتبة العباسية المقدسة
"المهمة".. إصدار قصصي يوثّق القصص الفائزة في مسابقة فتوى الدفاع المقدسة للقصة القصيرة
(نوافذ).. إصدار أدبي يوثق القصص الفائزة في مسابقة الإمام العسكري (عليه السلام)