علم الكيمياء
تاريخ الكيمياء والعلماء المشاهير
التحاضير والتجارب الكيميائية
المخاطر والوقاية في الكيمياء
اخرى
مقالات متنوعة في علم الكيمياء
كيمياء عامة
الكيمياء التحليلية
مواضيع عامة في الكيمياء التحليلية
التحليل النوعي والكمي
التحليل الآلي (الطيفي)
طرق الفصل والتنقية
الكيمياء الحياتية
مواضيع عامة في الكيمياء الحياتية
الكاربوهيدرات
الاحماض الامينية والبروتينات
الانزيمات
الدهون
الاحماض النووية
الفيتامينات والمرافقات الانزيمية
الهرمونات
الكيمياء العضوية
مواضيع عامة في الكيمياء العضوية
الهايدروكاربونات
المركبات الوسطية وميكانيكيات التفاعلات العضوية
التشخيص العضوي
تجارب وتفاعلات في الكيمياء العضوية
الكيمياء الفيزيائية
مواضيع عامة في الكيمياء الفيزيائية
الكيمياء الحرارية
حركية التفاعلات الكيميائية
الكيمياء الكهربائية
الكيمياء اللاعضوية
مواضيع عامة في الكيمياء اللاعضوية
الجدول الدوري وخواص العناصر
نظريات التآصر الكيميائي
كيمياء العناصر الانتقالية ومركباتها المعقدة
مواضيع اخرى في الكيمياء
كيمياء النانو
الكيمياء السريرية
الكيمياء الطبية والدوائية
كيمياء الاغذية والنواتج الطبيعية
الكيمياء الجنائية
الكيمياء الصناعية
البترو كيمياويات
الكيمياء الخضراء
كيمياء البيئة
كيمياء البوليمرات
مواضيع عامة في الكيمياء الصناعية
الكيمياء الاشعاعية والنووية
phthalic anhydride
المؤلف:
sami matar & Lewis. F. Hatch
المصدر:
Chemistry of PETROCHEMICAL PROCESSES
الجزء والصفحة:
p 296
14-9-2017
2033
phthalic anhydride
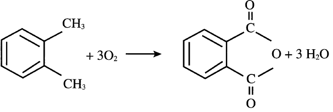
Currently, phthalic anhydride is mainly produced through catalyzed oxidation of o-xylene. A variety of metal oxides are used as catalysts. A typical one is V2O5 + TiO2/Sb2O3. Approximate conditions for the vapor-phase oxidation are 375–435°C and 0.7 atmosphere. The yield of phthalic anhydride is about 85%:
Liquid-phase oxidation of o-xylene also works at approximately 150°C. Cobalt or manganese acetate in acetic acid medium serves as a catalyst.The major by-products of this process are maleic anhydride, benzoic acid, and citraconic anhydride (methylmaleic anhydride). Maleic anhydride could be recovered economically. Phthalic anhydride’s main use is for producing plasticizers by reactions with C4–C10 alcohols. The most important polyvinyl chloride plasticizer is formed by the reaction of 2-ethylhexanol and phthalic anhydride:
Phthalic anhydride is also used to make polyester and alkyd resins. It is a precursor for phthalonitrile by an ammoxidation route used to produce phthalamide and phathilimide. The reaction scheme for producing phthalonitrile, phthalamide, and phathilimide is shown in Figure 1.1.
Figure 1.1. The reaction scheme for o-xylene to phthalonitrile.
الاكثر قراءة في البترو كيمياويات
اخر الاخبار
اخبار العتبة العباسية المقدسة

الآخبار الصحية
