
تاريخ الفيزياء

علماء الفيزياء


الفيزياء الكلاسيكية

الميكانيك

الديناميكا الحرارية


الكهربائية والمغناطيسية

الكهربائية

المغناطيسية

الكهرومغناطيسية


علم البصريات

تاريخ علم البصريات

الضوء

مواضيع عامة في علم البصريات

الصوت


الفيزياء الحديثة


النظرية النسبية

النظرية النسبية الخاصة

النظرية النسبية العامة

مواضيع عامة في النظرية النسبية

ميكانيكا الكم

الفيزياء الذرية

الفيزياء الجزيئية


الفيزياء النووية

مواضيع عامة في الفيزياء النووية

النشاط الاشعاعي


فيزياء الحالة الصلبة

الموصلات

أشباه الموصلات

العوازل

مواضيع عامة في الفيزياء الصلبة

فيزياء الجوامد


الليزر

أنواع الليزر

بعض تطبيقات الليزر

مواضيع عامة في الليزر


علم الفلك

تاريخ وعلماء علم الفلك

الثقوب السوداء


المجموعة الشمسية

الشمس

كوكب عطارد

كوكب الزهرة

كوكب الأرض

كوكب المريخ

كوكب المشتري

كوكب زحل

كوكب أورانوس

كوكب نبتون

كوكب بلوتو

القمر

كواكب ومواضيع اخرى

مواضيع عامة في علم الفلك

النجوم

البلازما

الألكترونيات

خواص المادة


الطاقة البديلة

الطاقة الشمسية

مواضيع عامة في الطاقة البديلة

المد والجزر

فيزياء الجسيمات


الفيزياء والعلوم الأخرى

الفيزياء الكيميائية

الفيزياء الرياضية

الفيزياء الحيوية

الفيزياء والفلسفة

الفيزياء العامة


مواضيع عامة في الفيزياء

تجارب فيزيائية

مصطلحات وتعاريف فيزيائية

وحدات القياس الفيزيائية

طرائف الفيزياء

مواضيع اخرى
Electromagnetic waves
المؤلف:
Richard Fitzpatrick
المصدر:
Classical Electromagnetism
الجزء والصفحة:
p 116
3-1-2017
2998
Electromagnetic waves
This is an appropriate point at which to demonstrate that Maxwell's equations possess propagating wave-like solutions. Let us start from Maxwell's equations in free space (i.e., with no charges and no currents):
(1.1a)
(1.1b)
(1.1c)
(1.1d)
Note that these equations exhibit a nice symmetry between the electric and magnetic fields. There is an easy way to show that the above equations possess wave-like solutions, and a hard way. The easy way is to assume that the solutions are going to be wave-like beforehand. Specifically, let us search for plane wave solutions of the form:
(1.2)
Here, E0 and B0 are constant vectors, k is called the wave-vector, and
is the angular frequency. The frequency in hertz is related to the angular frequency via
= 2π f. The frequency is conventionally defined to be positive. The quantity ϕ is a phase difference between the electric and magnetic fields. It is more convenient to write
(1.3)
where by convention the physical solution is the real part of the above equations. The phase difference ϕ is absorbed into the constant vector B0 by allowing it to become complex. Thus, B0 → B0 e i ϕ. In general, the vector E0 is also complex. A wave maximum of the electric field satisfies
(1.4)
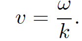
where n is an integer and ϕ is some phase angle. The solution to this equation is a set of equally spaced parallel planes (one plane for each possible value of n) whose normals lie in the direction of the wave vector k and which propagate in this direction with velocity
(1.5)
The spacing between adjacent planes (i.e., the wavelength) is given by
(1.6)
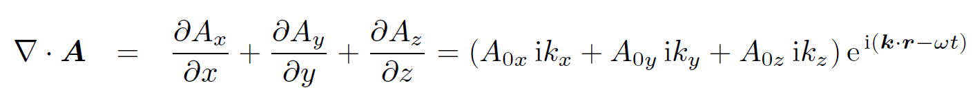
Consider a general plane wave vector field
(1.7)

What is the divergence of A? This is easy to evaluate. We have
(1.8)
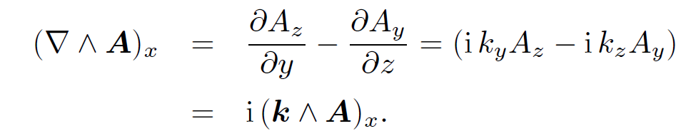
How about the curl of A? This is slightly more difficult. We have
(1.9)
This is easily generalized to
(1.10)
We can see that vector field operations on a plane wave simplify to dot and cross products involving the wave-vector. The first Maxwell equation (1.1a) reduces to
(1.11)
using the assumed electric and magnetic fields (1.3), and Eq. (1.8). Thus, the electric field is perpendicular to the direction of propagation of the wave. Likewise, the second Maxwell equation gives
(1.12)
implying that the magnetic field is also perpendicular to the direction of propagation. Clearly, the wave-like solutions of Maxwell's equation are a type of transverse wave. The third Maxwell equation gives
(1.13)
where use has been made of Eq. (1.10). Dotting this equation with E0 yields
(1.14)
Thus, the electric and magnetic fields are mutually perpendicular. Dotting equation (1.13) with B0 yields
(1.15)
Thus, the vectors E0, B0, and k are mutually perpendicular and form a right-handed set. The final Maxwell equation gives
(1.16)
Combining this with Eq. (1.13) yields
(1.17)
or
(1.18)
where use has been made of Eq. (1.11). However, we know from Eq. (1.5) that the wave-velocity c is related to the magnitude of the wave-vector and the wave frequency via c =
/k. Thus, we obtain
(1.19)
We have found transverse wave solutions of the free-space Maxwell equations, propagating at some velocity c which is given by a combination of
and μ0. The constants
and μ0 are easily measurable. The former is related to the force acting between electric charges and the latter to the force acting between electric currents. Both of these constants were fairly well known in Maxwell's time. Maxwell, incidentally, was the first person to look for wave-like solutions of his equations and, thus, to derive Eq. (1.19). The modern values of
and μ0 are
(1.20)
Let us use these values to find the propagation velocity of ''electromagnetic waves." We get
(1.21)
Of course, we immediately recognize this as the velocity of light. Maxwell also made this connection back in the 1870's. He conjectured that light, whose nature has been previously unknown, was a form of electromagnetic radiation. This was a remarkable prediction. After all, Maxwell's equations were derived from the results of benchtop laboratory experiments involving charges, batteries, coils, and currents, which apparently had nothing whatsoever to do with light. Maxwell was able to make another remarkable prediction. The wavelength of light was well known in the late nineteenth century from studies of diffraction through slits, etc. Visible light actually occupies a surprisingly narrow wavelength range. The shortest wavelength blue light which is visible has λ = 0.4 microns (one micron is 10-6 meters). The longest wavelength red light which is visible has λ = 0.76 microns. However, there is nothing in our analysis which suggests that this particular range of wavelengths is special. Electromagnetic waves can have any wavelength. Maxwell concluded that visible light was a small part of a vast spectrum of previously undiscovered types of electromagnetic radiation. Since Maxwell's time virtually all of the non-visible parts of the electromagnetic spectrum have been observed. Table 1 gives a brief guide to the electromagnetic spectrum. Electromagnetic waves are of particular importance because they are our only source of information regarding the universe around us. Radio waves and

microwaves (which are comparatively hard to scatter) have provided much of our knowledge about the centre of our own galaxy. This is completely unobservable in visible light, which is strongly scattered by interstellar gas and dust lying in the galactic plane. For the same reason, the spiral arms of our galaxy can only be mapped out using radio waves. Infrared radiation is useful for detecting proto-stars which are not yet hot enough to emit visible radiation. Of course, visible radiation is still the mainstay of astronomy. Satellite based ultraviolet observations have yielded invaluable insights into the structure and distribution of distant galaxies. Finally, X-ray and γ-ray astronomy usually concentrates on exotic objects in the Galaxy such as pulsars and supernova remnants. Equations (1.11), (1.13), and the relation c =
/k, imply that
(1.22)
Thus, the magnetic field associated with an electromagnetic wave is smaller in magnitude than the electric field by a factor c. Consider a free charge interacting with an electromagnetic wave. The force exerted on the charge is given by the Lorentz formula
(1.23)
The ratio of the electric and magnetic forces is
(1.24)
So, unless the charge is relativistic the electric force greatly exceeds the magnetic force. Clearly, in most terrestrial situations electromagnetic waves are an essentially electric phenomenon (as far as their interaction with matter goes). For this reason, electromagnetic waves are usually characterized by their wave-vector (which specifies the direction of propagation and the wavelength) and the plane of polarization (i.e., the plane of oscillation) of the associated electric field. For a given wave-vector k, the electric field can have any direction in the plane normal to k. However, there are only two independent directions in a plane (i.e., we can only define two linearly independent vectors in a plane). This implies that there are only two independent polarizations of an electromagnetic wave, once its direction of propagation is specified. Let us now derive the velocity of light from Maxwell's equation the hard way. Suppose that we take the curl of the fourth Maxwell equation, Eq. (1.1d). We obtain
(1.25)
Here, we have used the fact that ∇ . B = 0. The third Maxwell equation, Eq. (1.1c), yields
(1.26)
where use has been made of Eq. (1.19). A similar equation can obtained for the electric field by taking the curl of Eq. (1.1c):
(1.27)
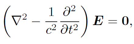
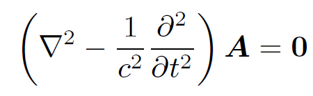
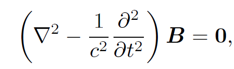
We have found that electric and magnetic fields both satisfy equations of the form
(1.28)
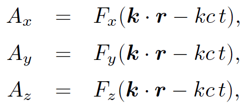
in free space. As is easily verified, the most general solution to this equation (with a positive frequency) is
(1.29)
where Fx(ϕ), Fy(ϕ), and Fz(ϕ) are one-dimensional scalar functions. Looking along the direction of the wave-vector, so that r = (k/k) r, we find that
(1.30)
The x-component of this solution is shown schematically below; it clearly prop-agates in r with velocity c. If we look along a direction which is perpendicular to k then k . r = 0 and there is no propagation. Thus, the components of A are arbitrarily shaped pulses which propagate, without changing shape, along the direction of k with velocity c. These pulses can be related to the sinusoidal

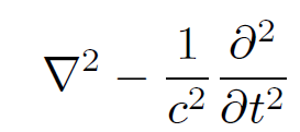
plane wave solutions which we found earlier by Fourier transformation. Thus, any arbitrary shaped pulse propagating in the direction of k with velocity c can be broken down into lots of sinusoidal oscillations propagating in the same direction with the same velocity. The operator
(1.31)
is called the d'Alembertian. It is the four dimensional equivalent of the Laplacian. Recall that the Laplacian is invariant under rotational transformation. The d'Alembertian goes one better than this because it is both rotationally invariant and Lorentz invariant. The d'Alembertian is conventionally denoted □2. Thus, electromagnetic waves in free space satisfy the wave equations
(1.32)
When written in terms of the vector and scalar potentials, Maxwell's equations reduce to
(1.33)
These are clearly driven wave equations. Our next task is to find the solutions to these equations.
الاكثر قراءة في الكهرومغناطيسية
اخر الاخبار
اخبار العتبة العباسية المقدسة
الآخبار الصحية

قسم الشؤون الفكرية يصدر كتاباً يوثق تاريخ السدانة في العتبة العباسية المقدسة
"المهمة".. إصدار قصصي يوثّق القصص الفائزة في مسابقة فتوى الدفاع المقدسة للقصة القصيرة
(نوافذ).. إصدار أدبي يوثق القصص الفائزة في مسابقة الإمام العسكري (عليه السلام)