The Simple Pendulum
المؤلف:
Professor John W. Norbury
المصدر:
ELEMENTARY MECHANICS & THERMODYNAMICS
الجزء والصفحة:
p 183
30-12-2016
3923
The Simple Pendulum
A pendulum is a very important type of oscillating motion and a very important clock (e.g. ''Grandfather Clock"). Let's analyze the forces and show that the period is independent of amplitude.
Example Prove that the period of a pendulum undergoing small oscillations is given by
where L is the length of the pendulum.
Solution we have

where we take the x direction to be perpendicular to the string. Thus

where α is the angular acceleration
. Now for small oscillations, sin θ
θ, so that

Now compare this to our spring equation which was

which had period
. Thus for the pendulum we must have

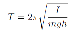
Example Prove that the period of oscillation is
, where I is the rotational inertia, m is the total mass and h is the distance from the rotation axis to the center of mass. Assume small oscillations.
Solution The torque is

where the minus sign indicates that when θ increases the torque acts in the opposite direction. For small oscillations sin θ
θ giving
Substitute into Newton's second law
gives
Now compare this to our spring equation which was
which had period
. Thus for the physical pendulum we must have
FIGURE 1.1 Block sliding on frictionless surface with various spring combinations.
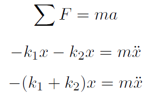
Example Two springs, with spring constants k1 and k2, are connected in parallel to a mass m sliding on a frictionless surface, as shown in Fig. 1.1a. What is the effective spring constant K? (i.e. If the two springs were replaced by a single spring with constant K, what is K in terms of k1 and k2?) Assume both springs have zero mass.
Solution If m moves by an amount x then it feels two forces -k1x and -k2x, giving
giving
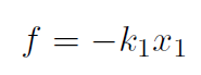
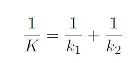
Example The two springs of the previous example are connected in series, as shown in Fig. 1.1b. What is the effective spring constant K ?
Solution If spring 1 moves a distance x1 and spring 2 moves a distance x2 then the mass moves a distance x1 + x2. The force the mass feels is
Now consider the motion of the mass plus spring 2 system. The force it feels is
but we must have F = f because ma is same for mass m and mass plus spring 2 system because spring 2 has zero mass. Thus
but
(the ratio of stretching
is inversely proportional to spring strength.) Thus
giving
or
Example The two springs of the previous example are connected as shown in Fig.1.1c. What is the effective spring constant K ?
Solution If spring 1 is compressed by x then spring 2 is stretched by -x. Thus
giving

الاكثر قراءة في الميكانيك
اخر الاخبار
اخبار العتبة العباسية المقدسة