Spring Potential Energy
المؤلف:
Professor John W. Norbury
المصدر:
ELEMENTARY MECHANICS & THERMODYNAMICS
الجزء والصفحة:
p 101
15-12-2016
2660
Spring Potential Energy
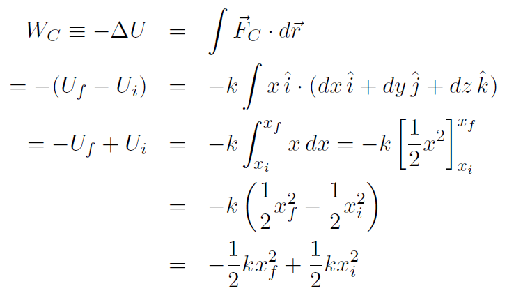
When you pull a spring you feel a force in the opposite direction from which you pull. Also the force increases with distance. This can be expressed as

in the x direction. Thus

which gives
, i.e.
and
. Thus we can simplify and write

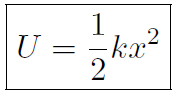
which is our expression for spring potential energy
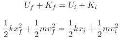
Example A spring with spring constant k has a mass of m on one end. The spring is stretched by a distance d. When released, how fast will the mass be moving when it returns to its original position? (Assume the motion occurs on a horizontal frictionless surface.)
Solution WNC = 0 giving

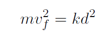
Now xf = 0, xi = d m and vi = 0. Thus

or

IMPORTANT NOTE:
The spring is an example of a variable force F = -kx which varies as distance. Thus the acceleration
is not constant and the constant acceleration equations cannot be used to solve the previous example. Also the variable force requires the integral definition of work as 
الاكثر قراءة في الميكانيك
اخر الاخبار
اخبار العتبة العباسية المقدسة