
تاريخ الفيزياء

علماء الفيزياء


الفيزياء الكلاسيكية

الميكانيك

الديناميكا الحرارية


الكهربائية والمغناطيسية

الكهربائية

المغناطيسية

الكهرومغناطيسية


علم البصريات

تاريخ علم البصريات

الضوء

مواضيع عامة في علم البصريات

الصوت


الفيزياء الحديثة


النظرية النسبية

النظرية النسبية الخاصة

النظرية النسبية العامة

مواضيع عامة في النظرية النسبية

ميكانيكا الكم

الفيزياء الذرية

الفيزياء الجزيئية


الفيزياء النووية

مواضيع عامة في الفيزياء النووية

النشاط الاشعاعي


فيزياء الحالة الصلبة

الموصلات

أشباه الموصلات

العوازل

مواضيع عامة في الفيزياء الصلبة

فيزياء الجوامد


الليزر

أنواع الليزر

بعض تطبيقات الليزر

مواضيع عامة في الليزر


علم الفلك

تاريخ وعلماء علم الفلك

الثقوب السوداء


المجموعة الشمسية

الشمس

كوكب عطارد

كوكب الزهرة

كوكب الأرض

كوكب المريخ

كوكب المشتري

كوكب زحل

كوكب أورانوس

كوكب نبتون

كوكب بلوتو

القمر

كواكب ومواضيع اخرى

مواضيع عامة في علم الفلك

النجوم

البلازما

الألكترونيات

خواص المادة


الطاقة البديلة

الطاقة الشمسية

مواضيع عامة في الطاقة البديلة

المد والجزر

فيزياء الجسيمات


الفيزياء والعلوم الأخرى

الفيزياء الكيميائية

الفيزياء الرياضية

الفيزياء الحيوية

الفيزياء والفلسفة

الفيزياء العامة


مواضيع عامة في الفيزياء

تجارب فيزيائية

مصطلحات وتعاريف فيزيائية

وحدات القياس الفيزيائية

طرائف الفيزياء

مواضيع اخرى
بعض المفاهيم الأساسية في قياس الضوء
المؤلف:
محمد جواد جادر النعيمي
المصدر:
الضوء الهندسي
الجزء والصفحة:
20-7-2016
4834
بعض المفاهيم الأساسية في قياس الضوء
الفيض الضوئي:
يعرف الفيض الضوئي بكمية الضوء المنبعثة من المصدر الضوئي في الثانية الواحدة. و يقاس الفيض الضوئي بوحدة تسمى اللومن و هو الفيض المنبعث في الثانية خلال زاوية مجسمة مقدارها الوحدة من مصدر قوة إضاءته شمعة عيارية.
من هذا نرى أن الشمعة العيارية تبعث في جميع الاتجاهات فيضا مقداره 4π لومن في الثانية الواحدة. فإذا فرضنا مصدرا قوة إضاءته F شمعة عيارية فان كمية الضوء المنبعثة منه في الثانية الواحدة هي 4π F.
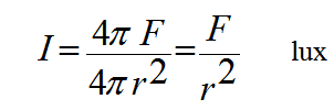
شدة الاستضاءة:
تعرف شدة استضاءة سطح بكمية الضوء (الفيض) الذي يسقط عموديا على وحدة المساحات في الثانية الواحدة.
فاذا تصورنا كرة جوفاء مركزها المصدر و نصف قطرها r فان شدة الاستضاءة عند أي نقطة على سطح الكرة تعطى من
(1)
و الوحدة العملية لقياس شدة الاستضاءة هي اللاكس وهي الفيض الضوئي لكل متر مربع.
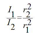
قانون التربيع العكسي:
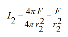
اذا فرضنا وجود مصدر ضوئي عند مركز كرتين، نصفي قطرهما r1, r2 فان شدة الاستضاءة على سطح الكرة الأول
(2)
و شدة الاستضاءة على سطح الكرة الثاني
(3)
من هنا نرى أن شدة الاستضاءة على سطح مضاء تتناسب عكسيا مع بعد السطح عن المصدر و طرديا مع قوة المصدر، و هذا هو قانون التربيع العكسي.
و عليه تكون النسبة بين شدة استضاءة السطحين هي:
(4)
الاكثر قراءة في الضوء
اخر الاخبار
اخبار العتبة العباسية المقدسة
الآخبار الصحية

قسم الشؤون الفكرية يصدر كتاباً يوثق تاريخ السدانة في العتبة العباسية المقدسة
"المهمة".. إصدار قصصي يوثّق القصص الفائزة في مسابقة فتوى الدفاع المقدسة للقصة القصيرة
(نوافذ).. إصدار أدبي يوثق القصص الفائزة في مسابقة الإمام العسكري (عليه السلام)