
تاريخ الفيزياء

علماء الفيزياء


الفيزياء الكلاسيكية

الميكانيك

الديناميكا الحرارية


الكهربائية والمغناطيسية

الكهربائية

المغناطيسية

الكهرومغناطيسية


علم البصريات

تاريخ علم البصريات

الضوء

مواضيع عامة في علم البصريات

الصوت


الفيزياء الحديثة


النظرية النسبية

النظرية النسبية الخاصة

النظرية النسبية العامة

مواضيع عامة في النظرية النسبية

ميكانيكا الكم

الفيزياء الذرية

الفيزياء الجزيئية


الفيزياء النووية

مواضيع عامة في الفيزياء النووية

النشاط الاشعاعي


فيزياء الحالة الصلبة

الموصلات

أشباه الموصلات

العوازل

مواضيع عامة في الفيزياء الصلبة

فيزياء الجوامد


الليزر

أنواع الليزر

بعض تطبيقات الليزر

مواضيع عامة في الليزر


علم الفلك

تاريخ وعلماء علم الفلك

الثقوب السوداء


المجموعة الشمسية

الشمس

كوكب عطارد

كوكب الزهرة

كوكب الأرض

كوكب المريخ

كوكب المشتري

كوكب زحل

كوكب أورانوس

كوكب نبتون

كوكب بلوتو

القمر

كواكب ومواضيع اخرى

مواضيع عامة في علم الفلك

النجوم

البلازما

الألكترونيات

خواص المادة


الطاقة البديلة

الطاقة الشمسية

مواضيع عامة في الطاقة البديلة

المد والجزر

فيزياء الجسيمات


الفيزياء والعلوم الأخرى

الفيزياء الكيميائية

الفيزياء الرياضية

الفيزياء الحيوية

الفيزياء والفلسفة

الفيزياء العامة


مواضيع عامة في الفيزياء

تجارب فيزيائية

مصطلحات وتعاريف فيزيائية

وحدات القياس الفيزيائية

طرائف الفيزياء

مواضيع اخرى
الفوتومترات
المؤلف:
محمد جواد جادر النعيمي
المصدر:
الضوء الهندسي
الجزء والصفحة:
20-7-2016
6382
الفوتومترات
الفوتومترات هي أجهزة يمكن استخدام سطحها للمقارنة بين قوتي إضاءة مصدرين، و ذلك بتغير بعدهما حتى تصبح شدة الاستضاءة الناتجة عنهما متساوية.
فوتومتر جولي:
يتركب فوتومتر جولي من لوحين متماثلين A, B من شمع البرافين يفصلهما صفيحة من القصدير.
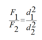
فإذا وضع المصدران المراد مقارنة قوة إضاءتهما على جانبي الفوتومتر عند النقطتين C, D فان اللوح A يصبح مضاء بالمصدر ذي القوةF1 و اللوح B يصبح مضاء بالمصدر ذي القوة F2 كما بالشكل. وبتغير موضع المصدرين حتى تصبح شدة استضاءة اللوحين واحدة فان:

و عند تحقق الشرط I1 = I2 نحصل على:
(1)
حيث d2, d1 بعدا المصدرين على الترتيب.
الاكثر قراءة في الضوء
اخر الاخبار
اخبار العتبة العباسية المقدسة
الآخبار الصحية

قسم الشؤون الفكرية يصدر كتاباً يوثق تاريخ السدانة في العتبة العباسية المقدسة
"المهمة".. إصدار قصصي يوثّق القصص الفائزة في مسابقة فتوى الدفاع المقدسة للقصة القصيرة
(نوافذ).. إصدار أدبي يوثق القصص الفائزة في مسابقة الإمام العسكري (عليه السلام)