التيار المتردد Alternating Current
المؤلف:
وفاء السواح
المصدر:
أساسيات الكهربائية التيارية
الجزء والصفحة:
.....
14-7-2016
2935
التيار المتردد Alternating Current
يعرف التيار المتردد على أنه تيار متغير الشدة و الاتجاه. و عند قفل الدائرة يتغير التيار من الصفر الي قيمته القصوى و يحدث العكس عند فتح الدائرة حيث يتغير التيار من قيمته القصوى الي الصفر.
و إذا احتوت دائرة كهربية على مثل هذه التيارات ، و كان هناك ملف حثى في هذه الدائرة , فانه نتيجة لتغير التيار يتغير كثافة الفيض المغناطيسي و نتيجة لهذا التغير في الفيض تتولد قوة دافعة كهربية تأثيرية يجب أخذها في الاعتبار كمصدر جديد للتيار.
أما إذا احتوت هذه الدائرة على مكثف، فان عملية تفريغ المكثف سوف تضيف مصدرا جديدا يجب أخذه في الاعتبار.
و يمكن الحصول على الجهد المتردد أما بدوران ملف في مجال مغناطيسي أو بدوران مجال مغناطيسي حول ملف.
و من المعروف لدينا أن القوة الدافعة الكهربية التأثيرية عند زمن t و الناشئة في ملف عدد لفاته n و مساحة مقطعه A يدور بسرعة زاوية منتظمة ω حول محور عمودي على مجال مغناطيسي منتظم شدتهH تعطى من المعادلة
(1)
و من هذه المعادلة نلاحظ أن تغير E مع الزمن t عبارة عن حركة توافقية بسيطة و أن قيمة E تتغير من μ H A n ω- الى μ H A n ω و تسمى هذه الكمية (μ H A n ω) سعة القوة الدافعة الكهربية
(2)
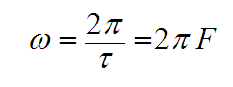
و إذا دار الملف بزاوية θ خلال زمن t فان السرعة الزاوية ω ( التردد الزاوي) لدورانه تساوى θ/ t = ω .
و من المعروف أن السرعة الزاوية ترتبط بكل من الزمن الدوري τ و التردد F :

المعادلة (1) تأخذ الصورة
E = E0 sin (ω t) (3)
والعلاقة بين القوة الدافعة الكهربية و الزمن تمثل رياضيا بدالة جيب (sin) و تمثلE0 النهاية العظمى للجهد المتردد. و تمثل هذه المعادلة بيانيا كما يلي

الاكثر قراءة في الكهربائية
اخر الاخبار
اخبار العتبة العباسية المقدسة