البناء الحيوي للجبريلينات
المؤلف:
د.محمد علي سلوم و د.خليفة الصباح خليفة
المصدر:
كيمياء النبات
الجزء والصفحة:
ص226
24-2-2016
10535
البناء الحيوي للجبريلينات Biosynthesis of gibberellins
لقد اظهرت الدراسات أن الجبريلينات ترجع من الناحية الكيميائية إلى مجموعة كبيرة من المركبات التي تنتج طبيعياً في النبات، وتعرف بالتربينويدز Terpenoids مثل (الستيرول Sterols و الكاروتينويدز Caroteinods). والتربينويدز Terpenoids عادة تتكون من جزيئات (وحدات) الايزوبرين Isoprene units الذي يدخل في تركيبها خمس ذرات كربون وكل جزيئتين من الأزوبرين Isoprene تكون ثربين احادي Monoterpene وأربع جزيئات تكون تربين ثنائي Diterpene وهذا يعتبر المكون الأول للجبريلين ويعرف بالكورين (Kaurene).
دل الأبحاث والتجارب ومن خلال استخدام المواد المشعة أن الخلات Acetate تعتبر المادة الأولية Primary substrate لبناء الجبريلين، وان انتقال مجاميع الخلات النشطة Active acetyl groups تحتاج إلى المرافق الانزيمي آ (Coenzyme - A) وتتضمن الخطوات الاولى للبناء الحيوي للجبريلين تكوين ثلاثة جزيئات من خلات المرافق الأنزيمي ــ آ (Acetyl Co - A) وتكثيفهم النهائي لتكوين حمض الميفالونيك Mevalonic acid)) وفي وجود جزيئتين من ATP وأحد انزيمات التنشيط (Kinase enzyme) يفسفر حمض الميفالونيك بيروفوسفات Mevalonic acid pyrophosphate)) وتحدث عملية نزع مجموعة الكربوكسيل (Dicarboxylation) لحمض الميفالونيك بيروفوسفات وذلك بوجود ATP واحد انزيمات نزع مجموعة الكربوكسيل فينتج مركب أيزوبتيل بيروفوسفات (Isopenty IPP) Pyrophosphate)) وهذا المركب هو وحدة أيزوبرينويد (Isoprenoid) ذو خمس ذرات كربون ويشتق منها كل من الكاروتينويدات (Carotenoids) والجبريلينات (Gibberellins).وتحدث لمركب IPP عملية تشابه (Isomerization) ويتكون مركب ثنائي ميثيل آليل بيروفوسفات (Dimethylally Pyrophosphate) وهو يكون الخطوة الاولى في انحاء بناء التربينويدات وتفاعل التشابه السابق ذكره لمركب IPP يحفزه أنزيم أيزوبنتيل بيرووسفات إيزوميريز (Isopentyl Pyrophosphate isomerase) IPP، حيث يعمل مركب IPP كمستقبل لمركب أخر من IPP ويعطي تفاعل التكثيف (التراكم) مركب ذو عشر ذرات من الكربون ويسمى جيرانيول بيروفوسفات (Geraniol Pyrophosphate) وبإضافة وحدتان متتاليتين من مركب IPP غلى مركب Geraniol pyrophosphate يؤدي إلى تكوين مركب الفارنيزول بيروفوسفات (Farnesol Pyrophosphate) (C - 15) أولاً ثم بعد ذلك يتكون مركب ثنائي التربينويدات جيرانيول بيروفوسفات بعد ذلك يتكون مركب ثنائي التربينويدات جيرانيول بيروفوسفات (Diteroene geraniol pyrophosphate)(C - 20) ويتحول بعد ذلك إلى مركب ثنائي التربينويدات الكحول كوبيل بيروفوسفات (Diteroene alchohol copalyl pyrophosphate) وبعدها يتحول إلى مركب الكورين (Kaurene) وهذا بدوره يتحول بسهولة إلى الجبريلين في النباتات والتفاعلات السابقة موضحة في الشكل 1.

شكل 1: خطوات البناء الحيوي للجبريلينات انطلاقاً من الخلات Acetate، مع ملاحظة مواقع تأثير المثبطات (AMO 1618 ، CCC وفسفون D)

تابع شكل 1: خطوات البناء الحيوي للجبريلينات انطلاقاً من الخلات Acetate، مع ملاحظة مواقع تأثير المثبطات (AMO 1618 ، CCC وفسفون D)

تابع شكل 1: خطوات البناء الحيوي للجبريلينات انطلاقاً من الخلات Acetate، مع ملاحظة مواقع تأثير المثبطات (AMO 1618 ، CCC وفسفون D)
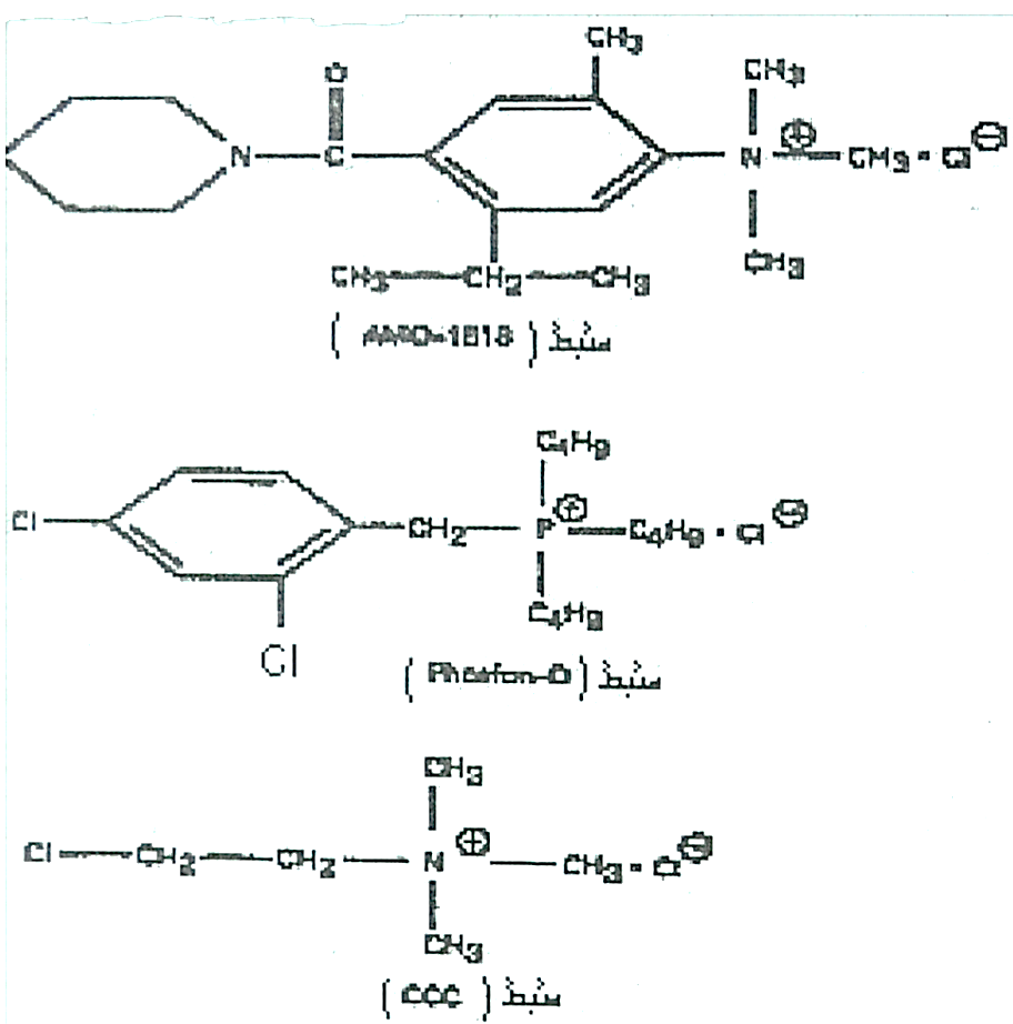
وللجبريلينات السابقة بعض المضادات Anti – Gibberellins المثبطات Retardandts التي تعرقل تكونها مثل (AMO 1618 و CCC وفسفون D) ومواقعها مبينة في الشكل 7-10 أما التراكيب الكيميائية لهذه المثبطات (المثبطات) فهي موضحة في الشكل 8-10.

شكل 2: التراكيب الكيميائية لمثبطات (مثبطات) النمو (AMO 1618 و CCC وفسفون D).
والمركبات السابقة (AMO 16 18 و CCC وفسفون D) توقف تحول مركب جيرائيل جيرانيول بيروفوسفات (Geranyl geraniol pyrophosphate إلى مركب كوباليل بيروفوسفات (Copalyl Pyrophosphate) وبذلك تعيق وتثبط بناء الكورين (Kaurene) والمركبات الاخرى المشتقة من هذا المركب.
الاكثر قراءة في كيمياء البيئة
اخر الاخبار
اخبار العتبة العباسية المقدسة