تفاعلات الإضافة النيكلوفيلية للألدهيدات والكيتونات تكوين أسيتال وكيتال
المؤلف:
د. محمد بن إبراهيم الحسن – د. حسن بن محمد الحازمي
المصدر:
أسس الكيمياء العضوية
الجزء والصفحة:
ص270-273
2025-01-15
1227
تضاف الكحولات إلى الألدهيدات، بطريقة مشابهة لتفاعلها تحت ظروف حمضية أو قاعدية وتختلف النواتج باختلاف الوسط.
الوسط الحمضي: يتكون ما يعرف بالهيمى أسيتال إذا ما تم إضافة الألدهيد إلى جزىء من الكحول ويتكون ما يعرف بالأسيتال من إضافة الزيادة من الكحول. إلى الهيمي أسيتال. هذا ويعرف ناتج الإضافة بالهيمى كيتال أو الكيتال من إضافة جزيء أو جزيئين من الكحول إلى الكيتون على التوالي.

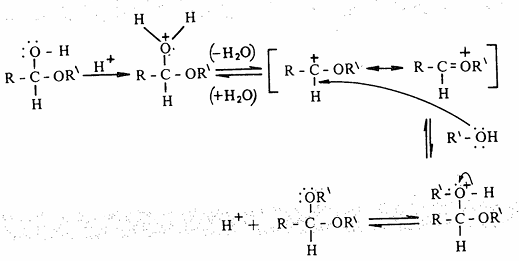
يتكون أيون الأكسونيوم عند إضافة بروتون إلى ذرة أكسجين مجموعة الكربونيل، ومن ثم يتم الهجوم النيكلوفيلي على ذرة كربون الأكسونيوم، وفي الخطوة الأخيرة يتكون الهيمي أسيتال كما يتضح من التالي:

كما أشرنا سابقاً، فإن الاسيتال يمكن أن يتكون من تفاعل الألدهيد مع غالباً ما يكون غاز كلوريد الزيادة من الكحول في وجود الحفز الحمضي الهيدروجين وكبريتات الماغنسيوم الجافة - لنزع الماء من وسط التفاعل أولاً بأول. وميكانية تكون الأسيتال تشتمل على إزاحة الماء من الهيمي أسيتال المحفزة بالحامض يليها إضافة الكحول.

هذا ويمكن أن تتم إزاحة الماء من وسط التفاعل في مثل هذه التفاعلات بتصميم جهاز التفاعل بطريقة تسمح بإزاحة الماء بواسطة التقطير الأزوتروبي. وزيادة الكحول وإزاحة الماء في هذا التفاعل تجعل الفرصة مواتية بصورة أكبر لسير التفاعل باتجاه اليمين (أي جهة تكوين الأسيتال). وعلى العكس فإن إذابة الأسيتال في الماء وإضافة قليل من الحامض يجعل الاتزان يميل جهة اليسار أي نحو
تكوين الألدهيد (يتميأ الأسيتال) وميكانية هذا التحلل المائي للأسيتال هو الطريق ال العكسي تماماً لميكانية تكونه. وفي الغالب يتكون الأسيتال من الكحولات البسيطة مع الألدهيدات، في حين أن الكيتال نادراً ما يتكون من هذه الكحولات (قد يتكون بمردود ضعيف جدا ) ولكن يتكون من تفاعل الجليكولات ( الكحولات ثنائية مجموعة الهيدروكسيل ) مع الكيتونات.

ومما تجدر الإشارة إليه أن معظم السكريات توجد بصورة رئيسية على هيئة هيمي أسيتال أو هيمي كيتال حيث أن جزىء السكر يحوي مجاميع هيدروكسيل عديدة ومجموعة كربونيل في نفس الجزىء الوسط القاعدي. يمكن أن يتكون الهيمي أسيتال أو الهيمي كيتال في الوسط القاعدي.

وميكانية هذا التفاعل مشابهة تماماً للإضافة النيكلوفيلية لسيانيد الهيدروجين إلى مركبات الكربونيل.


على الرغم من أن الأسيتالات والكيتالات تتميأ إلى الدهيدات وكيتونات في الأوساط الحامضية المائية إلا أنها ثابتة في الأوساط القاعدية المائية. وبسبب هذه الخاصية الأخيرة فإن الاسيتالات والكيتالات تقدم وسيلة جيدة لحماية مجموعة كربونيل الألدهيدات والكيتونات من تفاعلات لا نرغب في حدوثها فيحول الألدهيد أو الكيتون إلى أسيتال أو كيتال ويجرى عندئذ التفاعل وأخيراً يمكن تميؤ الأسيتال أو الكيتال لاستعادة مجموعة الكربونيل.

الاكثر قراءة في مواضيع عامة في الكيمياء العضوية
اخر الاخبار
اخبار العتبة العباسية المقدسة