رقم قياس تجميعي Aggregate Index Number
المؤلف:
صالح رشيد بطارسه
المصدر:
معجم الرياضيات
الجزء والصفحة:
144-145
10-11-2015
1912
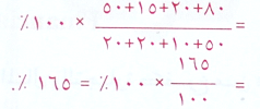
وهو الرقم القياسي الذي يتم حسابه عن طريق قسمة ناتج جمع الأسعار سنة المقارنة لكل السلع على ناتج جمع الأسعار سنة الأساس لكل السلع ثم ضرب الناتج في 100% .
فإذا كان ع ر يمثل سعر السلعة سنة المقارنة .
ع . يمثل سعر السلعة سنة الأساس .
فالرقم القياسي التجميعي لسلع عددها ك و :

ومن الجدول النفقات التالي الإحدى العائلات .

الرقم القياسي التجميعي لتكاليف المعيشة لعام 1990م .

والتفسير ان العائلة عليها ان تنفق الآن مقدار 165 دينار مقابل انفاقها 100 دينار في العام 1980م .غ
الاكثر قراءة في الرياضيات العامة
اخر الاخبار
اخبار العتبة العباسية المقدسة