

علم الكيمياء

تاريخ الكيمياء والعلماء المشاهير

التحاضير والتجارب الكيميائية

المخاطر والوقاية في الكيمياء

اخرى

مقالات متنوعة في علم الكيمياء

كيمياء عامة


الكيمياء التحليلية

مواضيع عامة في الكيمياء التحليلية

التحليل النوعي والكمي

التحليل الآلي (الطيفي)

طرق الفصل والتنقية


الكيمياء الحياتية

مواضيع عامة في الكيمياء الحياتية

الكاربوهيدرات

الاحماض الامينية والبروتينات

الانزيمات

الدهون

الاحماض النووية

الفيتامينات والمرافقات الانزيمية

الهرمونات


الكيمياء العضوية

مواضيع عامة في الكيمياء العضوية

الهايدروكاربونات

المركبات الوسطية وميكانيكيات التفاعلات العضوية

التشخيص العضوي

تجارب وتفاعلات في الكيمياء العضوية


الكيمياء الفيزيائية

مواضيع عامة في الكيمياء الفيزيائية

الكيمياء الحرارية

حركية التفاعلات الكيميائية

الكيمياء الكهربائية


الكيمياء اللاعضوية

مواضيع عامة في الكيمياء اللاعضوية

الجدول الدوري وخواص العناصر

نظريات التآصر الكيميائي

كيمياء العناصر الانتقالية ومركباتها المعقدة


مواضيع اخرى في الكيمياء

كيمياء النانو

الكيمياء السريرية

الكيمياء الطبية والدوائية

كيمياء الاغذية والنواتج الطبيعية

الكيمياء الجنائية


الكيمياء الصناعية

البترو كيمياويات

الكيمياء الخضراء

كيمياء البيئة

كيمياء البوليمرات

مواضيع عامة في الكيمياء الصناعية

الكيمياء التناسقية

الكيمياء الاشعاعية والنووية
التصنيف القائم على مصدر الكربون
المؤلف:
غاري و. فان لون , ستيفن ج. دفي
المصدر:
كيمياء البيئة نظرة شاملة
الجزء والصفحة:
ص 601-602
2024-01-03
1827
تتألف مادة المتعضيات المكروية الإنشائية من جزيئات عضوية من قبيل الكربوهدرات والبروتينات والشحوم وغيرها مما يمثل الكربون نحو نصف كتلته الجزيئية. وتبعا للمتعضي المكروي، يمكن للكربون اللازم أن يأتي من مصادر عضوية أو لاعضوية. وعلى هذا الأساس يمكن تقسيم المتعضيات تبعاً لمصدر الكربون اللازم لتحقيق وظائفها وبناء أنواعها:
• المتعضيات المكروية الذاتية التغذية (autotrophs) هي متعضيات قادرة على النمو في وسط لاعضوي كلياً واستعمال أنواع الكربونات المتوفرة مصدراً وحيداً للكربون. لقد وصفنا هذه المتعضيات سابقاً بأنها منتجة أو مركّبة. ويمكن للكربونات أن تكون بصيغة ثاني أكسيد الكربون الجوي أو المائي، أو كربونات الهدروجين أو الكربونات. وتُعتبر النباتات الخضراء (وهي متعضيات كبيرة طبعا) ومعظم الطحالب وبعض البكتريا ذاتية تحويل الكربون. ويقسم هذا الصنف إلى فئات جزئية منها الذاتية التغذية ضوئياً (photoautotrophs)، والطحالب خير مثال لها، وهي تستعمل أشعة الشمس مصدراً لطاقة التركيب الضوئي. وفي المقابل ثمة المتعضيات الذاتية التغذية كيميائياً، وهي تستمد طاقتها من تفاعلات الأكسدة الكيميائية. ومعظم البكتريا هي من هذا النوع. وثمة أيضاً سوموناز النتروجين (nitrosomonas) وهي جرثومة تسهل الخطوة الأولى من النترتة بإمداد النتريت بطاقة يستخلصها من أكسدة الأمونيوم:

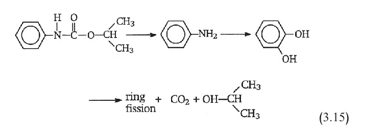
• المتعضيات غَيْرية التغذية (heterotrophy) التي تستعمل مركبات عضوية جاهزة مصدراً للكربون. تُعتبر هذه المتعضيات مفككات أو مستهلكات لبقايا كائنات حية أخرى من قبيل بقايا النبات والحيوان في الماء والتربة وكثير من الفضلات العضوية. وتتضمن هذه الفئة الفطريات والأكتينومايسيتات ووحيدات الخلية ومعظم البكتريا. وثمة متعضيات مكروية أخرى هامة أيضاً من حيث قدرتها على تفكيك جزيئات عضوية تركيبية مثل المبيدات الحشرية العضوية. على سبيل المثال، يُسهل عدد من أنواع البكتريا التي من قبيل الأرتروبكتر (Arthrobacter) تفكيك مبيد الحشرات الكارباماتي isopropyl-N-phenyl-carnamae).

يُقصد بـ ring fission انشطاراً حلقياً حينما يؤدي تفكك الجزيئات العضوية إلى منتجات لاعضوية من قبيل ثاني أكسيد الكربون والأمونيا والكبريتات، توصف السيرورات بأنها تفكيك كامل أو معدنة تامة.
الاكثر قراءة في كيمياء البيئة
اخر الاخبار
اخبار العتبة العباسية المقدسة
الآخبار الصحية


قسم الشؤون الفكرية يصدر كتاباً يوثق تاريخ السدانة في العتبة العباسية المقدسة
"المهمة".. إصدار قصصي يوثّق القصص الفائزة في مسابقة فتوى الدفاع المقدسة للقصة القصيرة
(نوافذ).. إصدار أدبي يوثق القصص الفائزة في مسابقة الإمام العسكري (عليه السلام)