تاريخ الفيزياء
علماء الفيزياء
الفيزياء الكلاسيكية
الميكانيك
الديناميكا الحرارية
الكهربائية والمغناطيسية
الكهربائية
المغناطيسية
الكهرومغناطيسية
علم البصريات
تاريخ علم البصريات
الضوء
مواضيع عامة في علم البصريات
الصوت
الفيزياء الحديثة
النظرية النسبية
النظرية النسبية الخاصة
النظرية النسبية العامة
مواضيع عامة في النظرية النسبية
ميكانيكا الكم
الفيزياء الذرية
الفيزياء الجزيئية
الفيزياء النووية
مواضيع عامة في الفيزياء النووية
النشاط الاشعاعي
فيزياء الحالة الصلبة
الموصلات
أشباه الموصلات
العوازل
مواضيع عامة في الفيزياء الصلبة
فيزياء الجوامد
الليزر
أنواع الليزر
بعض تطبيقات الليزر
مواضيع عامة في الليزر
علم الفلك
تاريخ وعلماء علم الفلك
الثقوب السوداء
المجموعة الشمسية
الشمس
كوكب عطارد
كوكب الزهرة
كوكب الأرض
كوكب المريخ
كوكب المشتري
كوكب زحل
كوكب أورانوس
كوكب نبتون
كوكب بلوتو
القمر
كواكب ومواضيع اخرى
مواضيع عامة في علم الفلك
النجوم
البلازما
الألكترونيات
خواص المادة
الطاقة البديلة
الطاقة الشمسية
مواضيع عامة في الطاقة البديلة
المد والجزر
فيزياء الجسيمات
الفيزياء والعلوم الأخرى
الفيزياء الكيميائية
الفيزياء الرياضية
الفيزياء الحيوية
الفيزياء العامة
مواضيع عامة في الفيزياء
تجارب فيزيائية
مصطلحات وتعاريف فيزيائية
وحدات القياس الفيزيائية
طرائف الفيزياء
مواضيع اخرى
حساب الكمون الناتج عن مجموعة الشحن في M
المؤلف:
الدكتور محمد انور بطل
المصدر:
الفيزياء الذرية والجزيئية
الجزء والصفحة:
ص 220
11-2-2022
2191
حساب الكمون الناتج عن مجموعة الشحن في M
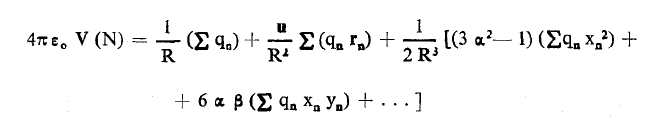
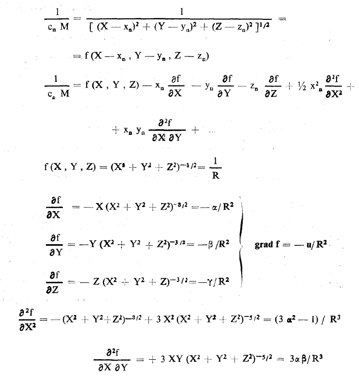
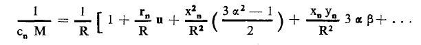
ولحساب M 1/cn نقوم بنشر محدود بالنسبة للكميات الصغيرة جداً xn, yn, zn:
إذاً :
بإضافة مساهمات كل الشحن نحصل على :
ولتفسير هذه النتيجة نجد:
a) - في الحالة التي يكون فيها qn ≠ 0 ∑ يوجد barycentre للشحن qn ويمكن أن نضع في هذه النقطة المركز c؛ بينما qn rn = 0 ∑ والحدود من المرتبة الثانية ستنعدم. الحد الأول بعد الحد R1 يكون tern ب 1R3 (حالة خاصة لأنوية الذرات).
b) - في الحالة التي يكون فيها qn = 0 ∑ فان المجموع qn rn ∑ مستقل عن المبدأ c ندعو بعزم ثنائي القطب الكهربائي المتجهة p =∑ qn rn لأن الشكل الأبسط لتحقيق مثل هذه المجموعة من الشحن هو اختبار شحنتان متساويتان لكن بأشارتين متعاكستين.
(من الممكن اختبار المبدأ وتوجيه المحاور بحيث ينعدم الحد R31).
c) - في الحالة التي يكون فيها qn = 0 ∑ و qn rn ∑ بنفس الوقت ، لم تعد الحدود الأولى معدوم ومن السهل بيان بأن معاملات الحدود السته مستقلة عن المبدأ المختار c ندعو بعزم رباعي الأقطاب الكهربائي التنسور المتناظر من المرتبة الثانية المشكل من هذه المعاملات الستة qn xn yn , ∑ qn xn2 ∑ لأن أبسط طريقة يحقق بها هو اختبار أربع شحن متساوية بالطويلة موضوعة على رأس متوازي أضلاع بشكل تشكل فيه ثنائيات قطب متعاكسة. كما في الشكل (1).
الشكل (1)
d) - بشكل عام ندعو بعزم متعدد الأقطاب الكهربائي من الرتبة 2n مجموعة المعاملات التي تسمح بالتعبير عن الحد 1 Rn+1 ،لأن أبسط طريقة لعدم مجموعة الحدود السابقة هو اختبار مجموعة ل 2n شحنة متعاكسة .
الاكثر قراءة في الفيزياء الذرية
اخر الاخبار
اخبار العتبة العباسية المقدسة

الآخبار الصحية
