تاريخ الفيزياء
علماء الفيزياء
الفيزياء الكلاسيكية
الميكانيك
الديناميكا الحرارية
الكهربائية والمغناطيسية
الكهربائية
المغناطيسية
الكهرومغناطيسية
علم البصريات
تاريخ علم البصريات
الضوء
مواضيع عامة في علم البصريات
الصوت
الفيزياء الحديثة
النظرية النسبية
النظرية النسبية الخاصة
النظرية النسبية العامة
مواضيع عامة في النظرية النسبية
ميكانيكا الكم
الفيزياء الذرية
الفيزياء الجزيئية
الفيزياء النووية
مواضيع عامة في الفيزياء النووية
النشاط الاشعاعي
فيزياء الحالة الصلبة
الموصلات
أشباه الموصلات
العوازل
مواضيع عامة في الفيزياء الصلبة
فيزياء الجوامد
الليزر
أنواع الليزر
بعض تطبيقات الليزر
مواضيع عامة في الليزر
علم الفلك
تاريخ وعلماء علم الفلك
الثقوب السوداء
المجموعة الشمسية
الشمس
كوكب عطارد
كوكب الزهرة
كوكب الأرض
كوكب المريخ
كوكب المشتري
كوكب زحل
كوكب أورانوس
كوكب نبتون
كوكب بلوتو
القمر
كواكب ومواضيع اخرى
مواضيع عامة في علم الفلك
النجوم
البلازما
الألكترونيات
خواص المادة
الطاقة البديلة
الطاقة الشمسية
مواضيع عامة في الطاقة البديلة
المد والجزر
فيزياء الجسيمات
الفيزياء والعلوم الأخرى
الفيزياء الكيميائية
الفيزياء الرياضية
الفيزياء الحيوية
الفيزياء العامة
مواضيع عامة في الفيزياء
تجارب فيزيائية
مصطلحات وتعاريف فيزيائية
وحدات القياس الفيزيائية
طرائف الفيزياء
مواضيع اخرى
المنظومات البصرية
المؤلف:
الدكتور محمد انور بطل
المصدر:
الفيزياء الذرية والجزيئية
الجزء والصفحة:
ص 15
30-1-2022
2230
المنظومات البصرية
إن الغاية من المنظومة البصرية هو فصل الإشعاعات ذات الأطوال الموجية المختلفة والصادرة عن المادة المثارة ضن منبع الإثارة والشكل (١) يبين المخطط العام لمنظومة بصرية.
الشكل (١)
يمركز الضوء الآتي من منبع الإثارة على شق الدخول لمقياس الطيف وذلك بواسطة عدسة. يوضع الشق في محرق العدسة ودوره هو إرسال — على كل طول منظومة الانتثار — حزمة من الإشعاعات المتوازية. تشكل عادة منظومة الانتثار إما موشور كما في الشكل (2) أو شبكة انعراج دورها الرئيسي هو فصل أطوال الموجات المتجاورة بشدة. تتجمع الحزمة المنتثرة بدل خروجها من الموشور أو الشبكة بواسطة عدسة حيث تشكل على الكاشف متتالية من أخيلة الشق الذي يشكل الخطوط الطيفية.
الشكل (2)
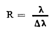
يتميز كلا من الموشور والشبكة بما يسمى بالشدة التحليلية وهي قياس إمكانية الفصل وبشكل واضح لطولين موجبين قريبين جداً من بعضهما البعض ويعطى بالعلاقة:
تعتمد الشدة التحليلية على عرض شق الدخول.
شبكة الإنعراج مشكلة من عدد كبير من الخطوط المتوازية متساوية البعد محفورة على الزجاج حيث تستخدم قانون الإنعراج:
n الرتبة ، i زاوية سقوط الأشعة ، θ وزاية الإنعراج ، D المسافة بين الخطين في الشبكة شكل (3) تحت نفس الزاوية θ نجد خطوط طيفية من المرتبة الأولى λ ومن المرتبة الثانية λ/2 ومن المرتبة الثالثة 3/λ، متطابقة ، ولإبعاد هذا التطابق يستخدم عادة مرشحات ضوئية.
إن التشتت الزاوي dθ/dλ ثابت على الأغلب لكل مجال الأطوال الموجية .
الشكل (3)
الاكثر قراءة في الفيزياء الذرية
اخر الاخبار
اخبار العتبة العباسية المقدسة

الآخبار الصحية
