
تاريخ الفيزياء

علماء الفيزياء


الفيزياء الكلاسيكية

الميكانيك

الديناميكا الحرارية


الكهربائية والمغناطيسية

الكهربائية

المغناطيسية

الكهرومغناطيسية


علم البصريات

تاريخ علم البصريات

الضوء

مواضيع عامة في علم البصريات

الصوت


الفيزياء الحديثة


النظرية النسبية

النظرية النسبية الخاصة

النظرية النسبية العامة

مواضيع عامة في النظرية النسبية

ميكانيكا الكم

الفيزياء الذرية

الفيزياء الجزيئية


الفيزياء النووية

مواضيع عامة في الفيزياء النووية

النشاط الاشعاعي


فيزياء الحالة الصلبة

الموصلات

أشباه الموصلات

العوازل

مواضيع عامة في الفيزياء الصلبة

فيزياء الجوامد


الليزر

أنواع الليزر

بعض تطبيقات الليزر

مواضيع عامة في الليزر


علم الفلك

تاريخ وعلماء علم الفلك

الثقوب السوداء


المجموعة الشمسية

الشمس

كوكب عطارد

كوكب الزهرة

كوكب الأرض

كوكب المريخ

كوكب المشتري

كوكب زحل

كوكب أورانوس

كوكب نبتون

كوكب بلوتو

القمر

كواكب ومواضيع اخرى

مواضيع عامة في علم الفلك

النجوم

البلازما

الألكترونيات

خواص المادة


الطاقة البديلة

الطاقة الشمسية

مواضيع عامة في الطاقة البديلة

المد والجزر

فيزياء الجسيمات


الفيزياء والعلوم الأخرى

الفيزياء الكيميائية

الفيزياء الرياضية

الفيزياء الحيوية

الفيزياء العامة


مواضيع عامة في الفيزياء

تجارب فيزيائية

مصطلحات وتعاريف فيزيائية

وحدات القياس الفيزيائية

طرائف الفيزياء

مواضيع اخرى
The superposition principle
المؤلف:
George C. King
المصدر:
Vibrations and Waves
الجزء والصفحة:
149
6-2-2021
2681
The superposition principle
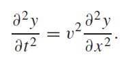
The superposition principle states that, if y1(x, t) and y2(x, t) are any two solutions of the wave equation (1),
..........(1)
then so is any linear combination
y(x, t) = A1y1(x, t) + A2y2(x, t) .......(2)
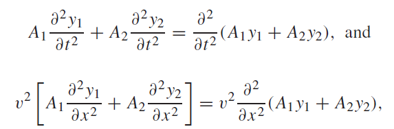
where A1 and A2 are arbitrary constants. This result follows at once from the linearity of the wave equation (1), i.e. each term in the wave equation is proportional to y or one of its derivatives: it does not contain quadratic or higher-power terms or product terms such as y(∂y/∂x). (Equations of this type are known as linear equations.) We can see this as follows. Multiplying the first of the following equations
.......(3)
by A1 and the second by A2, and adding the resulting equations gives
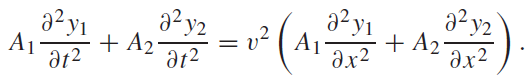
..........(4)
Since

it follows that the linear superposition y(x, t), Equation (2), is also a solution of the wave equation (1). This result clearly generalises to the superposition of any number of solutions of the wave equation. These can be any solutions: they do not have to be normal modes. However, for reasons that will become clearer in the course of the following discussions we now choose a general superposition of normal modes.
الاكثر قراءة في الفيزياء العامة
اخر الاخبار
اخبار العتبة العباسية المقدسة
الآخبار الصحية

قسم الشؤون الفكرية يصدر كتاباً يوثق تاريخ السدانة في العتبة العباسية المقدسة
"المهمة".. إصدار قصصي يوثّق القصص الفائزة في مسابقة فتوى الدفاع المقدسة للقصة القصيرة
(نوافذ).. إصدار أدبي يوثق القصص الفائزة في مسابقة الإمام العسكري (عليه السلام)