

تاريخ الرياضيات

الاعداد و نظريتها

تاريخ التحليل

تار يخ الجبر

الهندسة و التبلوجي


الرياضيات في الحضارات المختلفة

العربية

اليونانية

البابلية

الصينية

المايا

المصرية

الهندية


الرياضيات المتقطعة

المنطق

اسس الرياضيات

فلسفة الرياضيات

مواضيع عامة في المنطق


الجبر

الجبر الخطي

الجبر المجرد

الجبر البولياني

مواضيع عامة في الجبر

الضبابية

نظرية المجموعات

نظرية الزمر

نظرية الحلقات والحقول

نظرية الاعداد

نظرية الفئات

حساب المتجهات

المتتاليات-المتسلسلات

المصفوفات و نظريتها

المثلثات


الهندسة

الهندسة المستوية

الهندسة غير المستوية

مواضيع عامة في الهندسة

التفاضل و التكامل


المعادلات التفاضلية و التكاملية

معادلات تفاضلية

معادلات تكاملية

مواضيع عامة في المعادلات


التحليل

التحليل العددي

التحليل العقدي

التحليل الدالي

مواضيع عامة في التحليل

التحليل الحقيقي

التبلوجيا

نظرية الالعاب

الاحتمالات و الاحصاء

نظرية التحكم

بحوث العمليات

نظرية الكم

الشفرات

الرياضيات التطبيقية

نظريات ومبرهنات


علماء الرياضيات

500AD

500-1499

1000to1499

1500to1599

1600to1649

1650to1699

1700to1749

1750to1779

1780to1799

1800to1819

1820to1829

1830to1839

1840to1849

1850to1859

1860to1864

1865to1869

1870to1874

1875to1879

1880to1884

1885to1889

1890to1894

1895to1899

1900to1904

1905to1909

1910to1914

1915to1919

1920to1924

1925to1929

1930to1939

1940to the present

علماء الرياضيات

الرياضيات في العلوم الاخرى

بحوث و اطاريح جامعية

هل تعلم

طرائق التدريس

الرياضيات العامة

نظرية البيان
Jacobi Differential Equation
المؤلف:
Bliss, G. A
المصدر:
alculus of Variations. Chicago, IL: Open Cour
الجزء والصفحة:
...
13-6-2018
2239
Jacobi Differential Equation
![]() |
(1) |
or
![]() |
(2) |
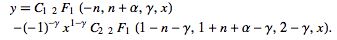
The solutions are Jacobi polynomials
or, in terms of hypergeometric functions, as
![]() |
(3) |
The equation (2) can be transformed to
![]() |
(4) |
where
![]() |
(5) |
and
![]() |
(6) |
where
![]() |
(7) |
Zwillinger (1997, p. 123) gives a related differential equation he terms Jacobi's equation
![]() |
(8) |
(Iyanaga and Kawada 1980, p. 1480), which has solution
![]() |
(9) |
Zwillinger (1997, p. 120; duplicated twice) also gives another types of ordinary differential equation called a Jacobi equation,
![]() |
(10) |
(Ince 1956, p. 22).
In the calculus of variations, the partial differential equation
![]() |
(11) |
where
![]() |
(12) |
is called the Jacobi differential equation.
REFERENCES:
Bliss, G. A. Calculus of Variations. Chicago, IL: Open Court, pp. 162-163, 1925.
Ince, E. L. Ordinary Differential Equations. New York: Dover, p. 22, 1956.
Iyanaga, S. and Kawada, Y. (Eds.). Encyclopedic Dictionary of Mathematics. Cambridge, MA: MIT Press, p. 1480, 1980.
Zwillinger, D. Handbook of Differential Equations, 3rd ed. Boston, MA: Academic Press, p. 120, 1997.
الاكثر قراءة في معادلات تفاضلية
اخر الاخبار
اخبار العتبة العباسية المقدسة
الآخبار الصحية




![(d^2u)/(dx^2)+[1/4(1-alpha^2)/((1-x)^2)+1/4(1-beta^2)/((1+x)^2)+(n(n+alpha+beta+1)+1/2(alpha+1)(beta+1))/(1-x^2)]u=0,](http://mathworld.wolfram.com/images/equations/JacobiDifferentialEquation/NumberedEquation4.gif)

![(d^2u)/(dtheta^2)+[(1/4-alpha^2)/(4sin^2(1/2theta))+(1/4-beta^2)/(4cos^2(1/2theta))+(n+(alpha+beta+1)/2)^2]u=0,](http://mathworld.wolfram.com/images/equations/JacobiDifferentialEquation/NumberedEquation6.gif)






قسم الشؤون الفكرية يصدر كتاباً يوثق تاريخ السدانة في العتبة العباسية المقدسة
"المهمة".. إصدار قصصي يوثّق القصص الفائزة في مسابقة فتوى الدفاع المقدسة للقصة القصيرة
(نوافذ).. إصدار أدبي يوثق القصص الفائزة في مسابقة الإمام العسكري (عليه السلام)